
南昌排煙風機

南昌排煙風機—HTF(B)高溫消防排煙風(feng)機(ji)(消聲(sheng)型)
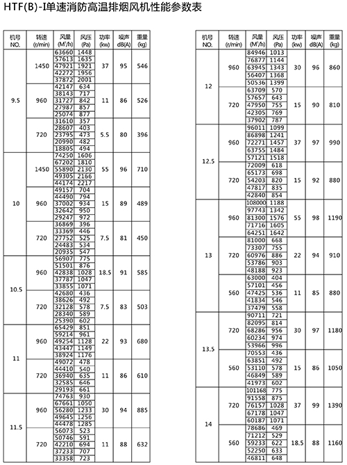
HTF(B)系列消(xiao)防(fang)高溫(wen)排煙(yan)風機
一、 特(te)性及應用
HTF(B)型(xing)即(PYHL-14A型(xing))系列(lie)排(pai)煙機(ji)(ji)(ji)(ji)采用(yong)(yong)CAD軟件多目標優化設計,選(xuan)(xuan)配摸壓扭曲翼(yi)形錐型(xing)葉輪(lun),內置(zhi)高(gao)(gao)(gao)(gao)溫(wen)電(dian)機(ji)(ji)(ji)(ji),配設專(zhuan)門(men)的電(dian)機(ji)(ji)(ji)(ji)冷卻系列(lie)。選(xuan)(xuan)用(yong)(yong)雙速電(dian)機(ji)(ji)(ji)(ji)直聯傳動(dong)(dong),達到一機(ji)(ji)(ji)(ji)兩用(yong)(yong)(即平時送排(pai)通(tong).風(feng)(feng)(feng)和(he)消防(fang)使用(yong)(yong)時高(gao)(gao)(gao)(gao)溫(wen)排(pai)煙) ,配設電(dian)控箱后可遠程自動(dong)(dong)控制。具(ju)有(you)耐(nai)(nai)高(gao)(gao)(gao)(gao)溫(wen)性能優良、風(feng)(feng)(feng)量大(da)(da)、風(feng)(feng)(feng)壓高(gao)(gao)(gao)(gao)、安裝(zhuang)簡便等優點,廣(guang)泛(fan)應用(yong)(yong)于高(gao)(gao)(gao)(gao)層建筑、烘(hong)房(fang)、地下車庫、地鐵、隧道等場合(he)消防(fang)排(pai)煙和(he)送排(pai)通(tong)風(feng)(feng)(feng)。按GA211-2009消防(fang)風(feng)(feng)(feng)機(ji)(ji)(ji)(ji)耐(nai)(nai)高(gao)(gao)(gao)(gao)溫(wen)試驗方法,能在280°C高(gao)(gao)(gao)(gao)溫(wen)條(tiao)(tiao)件下連續運(yun)行30分鐘(zhong)以上(shang),介質溫(wen)度100°C條(tiao)(tiao)件下連續運(yun)行20小時\次不損壞,已被我(wo)國各大(da)(da)城市消防(fang)部門(men)認可采用(yong)(yong)。
HTF(B)型(xing)(xing)(PYHL-14A型(xing)(xing))風機(ji)型(xing)(xing)單速(su)(su)結構緊湊(cou),節(jie)省安裝空(kong)間(jian)。II型(xing)(xing)雙(shuang)速(su)(su)在進風口設消聲集(ji)流器,使風機(ji)低速(su)(su)排風時(shi)運轉(zhuan)噪聲。
南昌排煙風機電話
地(di)址(zhi):江西省南昌市金(jin)沙大道618號(hao)
聯系人:楊總 電話:聯系人:楊總 電話:
聯系人:付總 電話: